Ширхэг: 0
Нийт: 0
эсвэл нэвтрэх
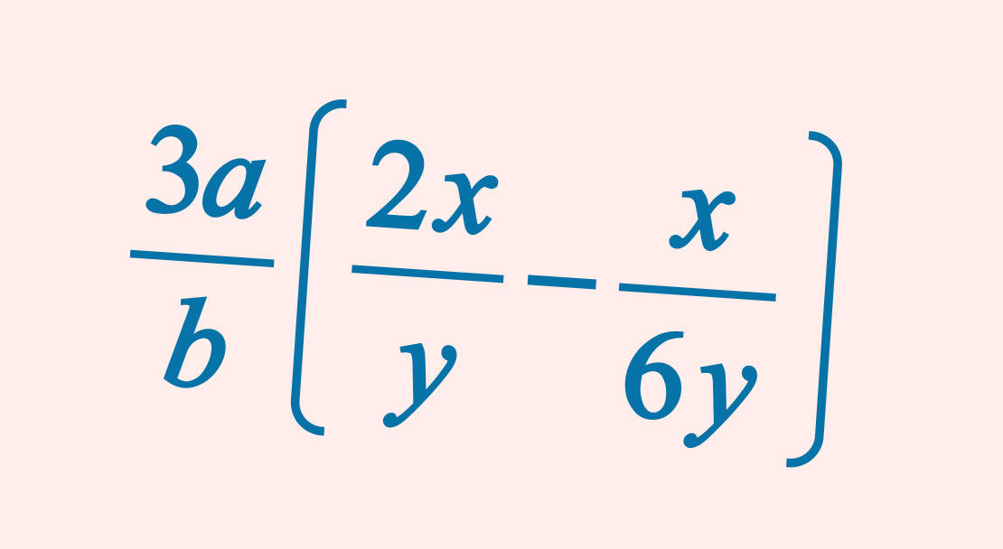
Алгебрийн бутархайг хялбарчлах.
Математик
7 – 14-р анги
Анхаараарай, Ой санамж, Бодох, Гол утгыг онцлох, Арифметик сэтгэлгээ, Асуудлыг шийдэх
Дасгал ажиллагаа, Шалгах, Шалгалт
Түлхүүр үгс
mozaLink
Веб холбоос
Холбогдох асуулт хариултууд
Бүтэн хуудсанд нээх
A tartalom megtekintéséhez Adobe Flash Player szükséges,melyet az alábbi ikonra kattinva telepíthet:
Манай вэбсайт танд хамгийн сайн сэтгэгдэл төрүүлэхийн тулд күүки ашигладаг. Дэлгэрэнгүй мэдээлэл