Cevabı bulmak için detaylara bakın.
Kesirler ile basit denklemler.
Bir kağıt katlanmış ve kesilmiştir. Açıp hangi şekli elde ederiz?
Manzara üzerinde işaretli noktayı gösteren haritayı seçin.
Rubik küpünü çözmek için doğru hamleler nelerdir?
İşaretli dişli çarkın döndükten sonraki durumu hangisi olacaktır?
Belirtilen konumda bulunan ögeleri alttaki hücrelere taşıyın.
Doğru sıraya dikkat ederek robot parçalarının ID’lerini giriniz.
Makara sistemini dengede tutacak kütle nedir?
İyi bilinen hayvanlarla ve bitkilerle ilgili sorular.
Kişilerin resimlerini zaman çizelgesinde uygun yere sürükleyin.
Ünlülerin portreleriyle ilgili alıştırmalar.
3x3'lük bir ızgarada temel matematiksel işlemler ve ilişkilerle ilgili alıştırmalar.
Sihirli daire kullanarak temel işlevleri pratik yapmak için alıştırmalar.
İşlemleri gerçekleştirin ve doğru cevapla eşleştirin.
Dairelerin alanını hesaplama alıştırması yapın.
Çokgenlerin alanını hesaplama alıştırması yapın.
Resimde görebildiğiniz her bir öğeden kaç tane olduğunu sayın.
Kartların sağ ve sol tarafları karışıktır. Onları doğru yere koyun.
Üst üste gelen katmanlar hangi şekli oluşturur?
Her cebirsel ifade, hemen altındaki iki ifadenin toplamıdır.
Cebirsel ifadelerin ağaç şeklinde gösterilmesi.
Roma rakamlarını tanıyın ve bunlarla hesaplamalar yapın.
İyi bilinen matematiksel özdeşlikler ve eşitsizlikler.
Desenlerin mantığını bulun ve tamamlayın.
Resim parçalarını doğru sıraya yerleştirin.
Başlangıç noktasından bitiş çizgisine kadar örüntüyü devam ettirin.
İki nokta arasındaki yol hangi kartta gösterilmektedir?
Çözülmüş bir Rubik küpünde gösterilen görünüme ulaşmak için en az kaç hamle yapmak gerekir?
Dominoları şekiller karenin her tarafında tek bir sefer görülecek şekilde ayarlayın.
İnsanların resimlerini uygun biyografik bilgilerle eşleştirin.
Müzik aletlerini seslerinden ve görüntülerinden tanıyın.
Sembollerden oluşan şifreleri kırmakla ilgili alıştırmalar.
Nesneleri farklı bakış açılarından tanıyın.
Şekilden kaç tane gördüğünüzü hesaplayın ve sayıyı alana girin.
Şeklin doğru görünümünü gösteren cevabı seçiniz.
Yeni başlayanlar için kesirler içeren işlemler.
Eşit değerli kesirleri gösteren kartları eşleştirin.
Eşya gruplarını, onlardan bir araya getirebileceğiniz resimlerle eşleştirin.
Her sayı, hemen altındaki iki sayının toplamıdır.
Şekli döndürdükten sonra hangi konum doğrudur?
Soru işaretiyle işaretlenen yerde, diğer grupta bulunabilecek bir şey eksiktir.
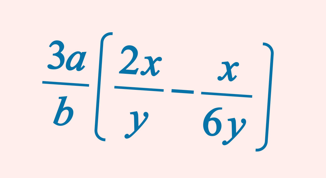
Cebirsel kesirleri sadeleştirme.
Sihirli kareleri kesirlerle doldurun.
Resimleri eşleştirmenin mantığını bulun.
Resmin hangi kısımları büyük resmin bir parçası değildir?
Sayı labirentinden çıkış yolunu bulmak için kuralı takip edin.
Antik Romalılar gibi hesaplayın.
Temel aritmetik işlemleri içeren bulmaca.
İki taraftaki eleman sayısını karşılaştırın.
İki tarafın değerini karşılaştırın.
Şekilleri sayın ve hangi tarafta daha fazla olduğuna karar verin.
Kesirlerin değerini karşılaştırın. Daha fazla mı, daha az mı yoksa eşit mi?
İşaretli iki düğüm arasındaki en kısa yol kaç bağlantıdan oluşuyor?
Resmin iki yarısını birleştirin.
Birbirini tamamlayan parçaları eşleştirin.
Dört resimden oluşan küçük karenin büyük karenin içinde nerede olduğunu işaretleyin.
Şekilleri uygun kümeye yerleştirin.
Sudokunun basitleştirilmiş bir versiyonu.
Trigonometrik problemler ve özdeşlikler.
Üç kez geçen ögelerin üzerine tıklayın.
Dominolardaki noktaların sayısı karenin her tarafında aynı olmalı.
Karttaki yön ve mesafeyi kullanarak istikameti bulun.
İki nokta arasındaki doğru yön ve mesafe hangi kartta gösterilmektedir?
Standart bir Rubik küpünü döndürürken hangi düzenleniş imkansızdır?
Belirtilen dönüşlerin sonucunu gösteren Zeka küpü hangisidir?
İşaretli parça hangi hamle dizisi ile Rubik küpünde uygun yere getirilecektir?
Dominoları üzerindeki noktalar karenin her tarafında aynı olacak şekilde ayarlayın.
Domino taşlarını, karenin her tarafındaki kesirlerin toplamı aynı olacak şekilde yerleştirin.
İki resim arasında 10 fark var, hepsini bulun.
Domino taşları ile basit eşleştirme alıştırmaları.
Küçük öğrenciler için harf tanıma alıştırmaları.
Çiçeklerin ortasındaki sayıyı elde etmek için hangi sayıları eklemeniz gerekir?
Renkler yardımıyla İngilizce kelimeler öğrenin
Hangi küçük resim büyük resme en çok uyar?
Eşleşen resmleri birbirine bağlayın. Sıra ve yönelmeye dikkat edin!
Resim çizme aşamalarını doğru sıraya koyun.
Üstteki resim nasıl yanındakini andırdığını anlayınca alttakinin neyi andırdırğını da bulursunuz.
Uygun olan cismi veya açınımı seçin.
Renkler her satırda ve her sütunda birer kez yer alabilir.
Sıraları uygun olan öge ile tamamlayın.
Üç resim parçasını üst üste koyarsanız ne görürsünüz?
Ön görünümleri karşılık gelen arka görünümlerle eşleştirin.
Verilen giriş değerlerine göre doğru çıkış değeri nedir?
Aşağıdaki mantıklı devre şemasını hangi mantıksal ifade temsil eder?
Meyveleri ve sebzeleri kesitleriyle eşleştirin.
Tabloları kullanarak işlemleri gerçekleştirin.
Hangi yapılar bir araya geldiğinde bir küp oluşturur?
Çeşitli konularla ilgili bilgi yarışması soruları.